Το Τμήμα Κοινωνικής Ανθρωπολογίας και Ιστορίας συμμετέχει στο ιδρυματικό έργο «Πρακτική άσκηση Πανεπιστημίου Αιγαίου ακ. ετών 2024-2025, 2025-2026 και 2026-2027» με Κωδικό ΟΠΣ 6022449 στο Πρόγραμμα «Ανθρώπινο Δυναμικό και Κοινωνική Συνοχή 2021-2027» και στην Προτεραιότητα «Εκπαίδευση & Δια Βίου Μάθηση», που συγχρηματοδοτείται από το Ευρωπαϊκό Κοινωνικό Ταμείο.
Το πρόγραμμα Θερινής Πρακτικής Άσκησης αποσκοπεί στη γνωριμία των φοιτητών και φοιτητριών του τμήματος με επαγγελματικούς χώρους στους οποίους χρησιμοποιούνται τα θεωρητικά και μεθοδολογικά εργαλεία της Κοινωνικής Ανθρωπολογίας και της Ιστορίας. Οι φοιτητές και οι φοιτήτριες εντάσσονται ως εργαζόμενοι/ες σε ιστορικά αρχεία, σε ερευνητικά κέντρα και ιδρύματα, σε βιβλιοθήκες, σε μουσεία, σε οργανισμούς παροχής κοινωνικών υπηρεσιών για ένα ορισμένο διάστημα. Το αντικείμενο απασχόλησης μπορεί να περιλαμβάνει: αρχειοθέτηση και ψηφιοποίηση εγγράφων, φωτογραφιών και φιλμ, απομαγνητοφώνηση συνεντεύξεων, συμμετοχή σε προετοιμασία κάθε είδους έκθεσης σε μουσειακό χώρο, υποστήριξη του έργου φορέων κοινωνικής μέριμνας με επιτόπια έρευνα και καταγραφή των δραστηριοτήτων τους.
Παράλληλα, μέσω της πρακτικής άσκησης επιδιώκεται να γίνει γνωστή σε συγκεκριμένους εργασιακούς χώρους, πέραν του στενά ακαδημαϊκού περιβάλλοντος, η ακαδημαϊκή ταυτότητα του Τμήματος και των αποφοίτων του. Επιδίωξη του Τμήματος είναι να έχει τη δυνατότητα ένας μεγάλος αριθμός φοιτητών και φοιτητριών να συμμετάσχει μία τουλάχιστον φορά στην διάρκεια των σπουδών τους στο πρόγραμμα πρακτικής άσκησης.
Το πρόγραμμα απευθύνεται σε φοιτητές και φοιτήτριες του τρίτου ή μεγαλύτερου έτους. Η θερινή πρακτική άσκηση πραγματοποιείται σε δημόσιους και ιδιωτικούς οργανισμούς. Η προτεινόμενη διάρκεια της άσκησης είναι δύο μήνες (Ιούλιος-Αύγουστος). Η Θερινή Πρακτική Άσκηση είναι ενταγμένη στο πρόγραμμα σπουδών ως μάθημα επιλογής που αντιστοιχεί σε 10 πιστωτικές μονάδες. Οι ασκούμενοι/ες αμείβονται από το πρόγραμμα.
ΣΥΝΤΟΝΙΣΜΟΣ
Υπεύθυνος Θερινής Πρακτικής Άσκησης: Γιάννης Σμαρνάκης Αναπληρώτρια: Δήμητρα Βασιλειάδου. Επιτροπή Θερινής Πρακτικής Άσκησης: Γιάννης Σμαρνάκης, Νίκος Όλμα, Έλια Πετρίδου Αναπληρωματικά Μέλη: Δήμητρα Βασιλειάδου, Αίγλη Χατζούλη, Γιάννης Γιαννιτσιώτης. Επιτροπή Ενστάσεων Θερινής Πρακτικής Άσκησης:: Κώστας Κανάκης, Ποθητή Χαντζαρούλα, Βασίλης Αναστασιάδης Αναπληρωματικά Μέλη: Γιώργος Πλακωτός, Έφη Πλεξουσάκη, Βενετία ΚαντσάΠροηγούμενοι τμηματικοί υπεύθυνοι: Έφη Πλεξουσάκη (2002-2015), Γιάννης Γιαννιτσιώτης (2015-2018), Γιώργος Πλακώτος (2018-2021), Βίκυ Ιακώβου (2021-2022, 2023-2024), Δήμητρα Βασιλειάδου (2022-2023).
Συντονιστής: Γιάννης Σμαρνάκης Τηλ.:+30 22510 36327 ismarnakis@sa.aegean.gr
Γραμματεία: Μαρία Καμίτσου Γραφείο Πρακτικής Άσκησης Σχολές Κοινωνικών Επιστημών και Περιβάλλοντος, Πανεπιστήμιο Αιγαίου Κτίριο Διοίκησης, ΙΣ.2.13, Λόφος Πανεπιστημίου Αιγαίου, Τ.Κ. 81100, Μυτιλήνη Τηλ.: +30 22510 36778, E-mail: gpa1@aegean.gr Ιστοσελίδα Γραφείου Πρακτικής Άσκησης: http://pa.aegean.gr
Ανακοίνωση τελικών αποτελεσμάτων για τη συμμετοχή προπτυχιακών Φοιτητών/τριών για την πραγματοποίηση Πρακτικής Άσκησης για το ακαδημαϊκό έτος 2024-2025.
Ανακοίνωση προσωρινών αποτελεσμάτων για τη συμμετοχή προπτυχιακών Φοιτητών/τριών για την πραγματοποίηση Πρακτικής Άσκησης
Ανακοίνωση υποβολής αιτήσεων Θερινής Πρακτικής άσκησης ακαδημαϊκού έτους 2024-5
Δραστηριότητες της ΘΠΑ σε συνεργασία με τους φορείς υποδοχής φοιτητών και φοιτητριών του τμήματος
1. Ημερίδες απολογισμού και αξιολόγησης της Θερινής Πρακτικής Άσκησης
Πραγματοποιήθηκαν πέντε ημερίδες για τα πέντε πρώτα έτη της καθιέρωσης της ΘΠΑ από το 2003 έως το 2007, οι οποίες οργανώθηκαν κατά την διάρκεια του χειμερινού εξαμήνου της επόμενης ακαδημαϊκής χρονιάς.
Οι ημερίδες βασίστηκαν στην παρουσίαση της πρακτικής άσκησης και την αξιολόγησή της τόσο από την πλευρά των ασκούμενων φοιτητών και φοιτητριών όσο και από την πλευρά των φορέων που υποδέχτηκαν τους/τις ασκούμενους και ασκούμενες. Στόχευαν αφενός στην καταγραφή και την αποτίμηση της άσκησης και παράλληλα στην διαμόρφωση ενός σκεπτικού και προτάσεων για τις προοπτικές τους. Οι ημερίδες αντιμετωπίστηκαν από το Τμήμα και τους φορείς υποδοχής ως ένα πολλαπλό φιλτράρισμα του υλικού που φέρνουν οι ασκούμενοι και οι ασκούμενες από την εξοικείωση και την εργασία σε ένα επαγγελματικό περιβάλλον και από την εμπειρία που αποκόμισαν τα δύο μέρη.
Πιο αναλυτικά, στόχος ήταν να αναδειχθούν τα δυνατά σημεία των ασκούμενων και οι αδυναμίες ή οι δυσκολίες που συνάντησαν, να συζητηθούν τα προβλήματα συνεργασίας, να ανανεωθούν οι συνεργασίες εκείνες οι οποίες αποδείχθηκαν γόνιμες και να καταγραφούν ιδέες σχετικά με το περιεχόμενο του προγράμματος σπουδών ώστε η πρακτική άσκηση να προσφέρει ανατροφοδότηση στη συζήτηση για τα εφόδια που χρειάζεται να έχουν οι απόφοιτοι και οι απόφοιτες του τμήματος.
Η κάθε ημερίδα εν τέλει είχε πολλαπλές λειτουργίες: λειτούργησε ως εργαλείο για τον επανασχεδιασμό της ΘΠΑ ώστε κάθε χρόνο να λαμβάνεται υπόψη η προηγούμενη εμπειρία. Επιπλέον οι ημερίδες απετέλεσαν ένα μέσο ενημέρωσης των φορέων, δυνητικών εργοδοτών των αποφοίτων μας, για τη φυσιογνωμία του τμήματος και του προπτυχιακού προγράμματος σπουδών, δηλαδή για την ταυτότητα των αποφοίτων του τμήματος. Τέλος, οι ημερίδες άνοιξαν συζητήσεις σχετικά με το ζήτημα των επαγγελματικών οριζόντων των αποφοίτων του τμήματος.
Οι προφορικές παρουσιάσεις απομαγνητοφωνήθηκαν και με την επιμέλεια του απομαγνητοφωνημένου υλικού εκπονήθηκαν πρακτικά των ημερίδων που υπάρχουν σε ηλεκτρονική μορφή.
Πρακτικά Ημερίδων
Πρόγραμμα Ημερίδων
- Πρόγραμμα ημερίδας Μάρτιος 2005 |Αρχείο 1 | Αρχείο 2
- Πρόγραμμα ημερίδας Νοέμβριος 2005 |Αρχείο 1 | Αρχείο 2
- Πρόγραμμα ημερίδας 2006 |Αρχείο 1
- Πρόγραμμα ημερίδας 2008 |Αρχείο 1 | Αρχείο 2
2. Εκπαιδευτικές εκδρομές σε ιστορικά αρχεία, μουσεία και ερευνητικά κέντρα
Οργανώθηκαν τρεις εκπαιδευτικές εκδρομές σε ιστορικά αρχεία, μουσεία και ερευνητικά κέντρα στην διάρκεια του εαρινού εξαμήνου των ετών 2011 (3-6 Μαΐου), 2012 ( 7-10 Μαΐου) και 2013 (12-17 Μαΐου).
Εκπαιδευτικές Εκδρομές
- Εκπαιδευτική εκδρομή 2011
- Εκπαιδευτική εκδρομή 2012 – Αρχεία
- Εκπαιδευτική εκδρομή 2012 – Μουσεία και Μνημεία
- Εκπαιδευτική εκδρομή 2013 – Αρχεία
- Εκπαιδευτική εκδρομή 2013 – Μουσεία και Μνημεία
Συγκεκριμένα σε συνεργασία των εποπτών καθηγητών και εποπτριών καθηγητριών με επιστήμονες σε ιστορικά αρχεία, μουσεία και ερευνητικά κέντρα σχεδιάστηκαν ειδικού́ τύπου δραστηριότητες που εντάχθηκαν σε πενθήμερες εκπαιδευτικές εκδρομές στην Αθήνα και την Αττική. Στην διάρκεια των εκδρομών πέντε με επτά διδάσκοντες και διδάσκουσες του τμήματος εργάστηκαν με περίπου 25 φοιτητές και φοιτήτριες και εργαζόμενους σε αρχειακούς, μουσειακούς και ερευνητικούς φορείς.
Οι δραστηριότητες αυτές που ονομάστηκαν «Μία εβδομάδα στα αρχεία» και «Η ανθρωπολογία έξω από το Πανεπιστήμιο: μουσεία και μνημεία» περιλάμβαναν το Κέντρο Μικρασιατικών Σπουδών [ΚΜΣ], τα Αρχεία Σύγχρονης Κοινωνικής Ιστορίας [ΑΣΚΙ], το Μουσείο Μπενάκη και το Μουσείο Λαϊκής Τέχνης (παράρτημα Πλάκας: Άνθρωποι και Εργαλεία), το Βιοτεχνικό και Βιομηχανικό Μουσείο Λαυρίου, το Ιστορικό Αρχείο του Πανεπιστημίου Αθηνών και ξεναγήσεις με ιστορικούς και αρχαιολόγους με ειδικές γνώσεις για τις μουσειακές συλλογές στο Βυζαντινό Μουσείο και το Μουσείο της Ακρόπολης.
Στο πλαίσιο αυτό οι φοιτητές και οι φοιτήτριες θα ασκούνταν στην πρακτική της ιστορικής σημείωσης και του τρόπου οργάνωσης ενός αρχείου. Παράλληλα, οι ασκήσεις στα μουσεία έδωσαν την δυνατότητα μιας πρακτικής διάστασης στα θεωρητικά ζητήματα που παρουσιάζονται σε μαθήματα όπως η Ανθρωπολογία του υλικού πολιτισμού ή η Προφορική Ιστορία. Θεωρήσαμε ότι η κοντινή γνωριμία των φοιτητών και φοιτητριών ενταγμένων σε μια ομάδα (διδασκόμενοι/ες και διδάσκοντες/διδάσκουσες, επιστήμονες) με τους χώρους και τους επιστήμονες εκτός του στενού ακαδημαϊκού περιβάλλοντος και η εστίαση στις διαδικασίες της συλλογής, ταξινόμησης, περιγραφής και έκθεσης ποικίλων τεκμηρίων του κοντινού και μακρινού παρελθόντος καθώς και στις μεθόδους άντλησης γνώσεων από πηγές και εκθέματα θα ήταν χρήσιμη για την πιο εύκολη μετάβαση στο στάδιο του/της ασκούμενου/ης αλλά και για το κέντρισμα του ενδιαφέροντος των φοιτητών και φοιτητριών για χώρους που υποθέτουμε ότι παρουσιάζονται ως «χρήσιμοι» ή «απαραίτητοι» για τη «γνώση», αλλά όχι τόσο ελκυστικοί ή συναρπαστικοί για τους φοιτητές και τις φοιτήτριες.
Κάθε έτος ο τμηματικός υπεύθυνος και τα μέλη της συντονιστικής επιτροπής της Θερινής Πρακτικής Άσκησης, σε συνεργασία με τους υπόλοιπους διδάσκοντες του Τμήματος, διερευνούν τις δυνατότητες συνεργασίας και τη διαθεσιμότητα διαφορετικών φορέων υποδοχής και συντάσσουν κατάλογο με τους φορείς στους οποίους μπορούν να ασκηθούν οι φοιτητές. Βασικά κριτήρια για την επιλογή των φορέων είναι η αξιολόγηση της συνεργασίας με τον εκάστοτε φορέα, το είδος των δραστηριοτήτων που υλοποιούνται από αυτόν κατά την περίοδο της πρακτικής άσκησης, και η δυνατότητα των ασκουμένων να εξασφαλίσουν τα έξοδα διαμονής τους σε συγκεκριμένα μέρη.
Οι φορείς υποδοχής προσφέρουν την υλικοτεχνική υποδομή, τον χώρο εργασίας και το εξειδικευμένο προσωπικό για την εκπαίδευση, καθοδήγηση και εποπτεία των ασκούμενων φοιτητών.
ΔΙΑΔΙΚΑΣΙΑ ΕΠΙΛΟΓΗΣ
Η επιλογή των φοιτητών και φοιτητριών που θα συμμετέχουν στην άσκηση γίνεται από τη συντονιστική επιτροπή. Δικαίωμα συμμετοχής έχουν οι φοιτητές και οι φοιτήτριες του 3ου ή επόμενου έτους που έχουν εξεταστεί επιτυχώς σε 12 τουλάχιστον μαθήματα βάσει του ενδεικτικού προγράμματος σπουδών του Τμήματος.
Οι φοιτητές και οι φοιτήτριες καλούνται να υποβάλλουν αιτήσεις συμμετοχής, επιλέγοντας κατά σειρά προτεραιότητας 3 φορείς στους οποίους επιθυμούν να ασκηθούν.
Για την επιλογή και κατάταξη των φοιτητών/τριών στις διαθέσιμες θέσεις ΠΑ, λαμβάνονται υπόψη: α) ο αριθμός των μαθημάτων στα οποία ο/η φοιτητής/τρια έχει εξετασθεί επιτυχώς, όπως αυτό προκύπτει από την αναλυτική βαθμολογία που παρέχεται από τη γραμματεία του Τμήματος ως προς το σύνολο των μαθημάτων που όφειλε να έχει περάσει σε ποσοστό 50% και β) ο μέσος όρος βαθμολογίας, όπως αυτό προκύπτει από την αναλυτική βαθμολογία που παρέχεται από τη γραμματεία του Τμήματος σε ποσοστό 50%.
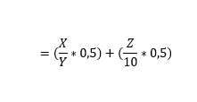
H τελική μοριοδότηση προκύπτει σύμφωνα με τον ακόλουθο τύπο: (X/Y*0,5)+(Z/10*0,5)

Όπου: X= Αριθμός περασμένων μαθημάτων, Y= Αριθμός μαθημάτων που όφειλουν να έχουν επιτυχώς περαστεί συνολικά έως και το 6μηνο που βρίσκεται ο/η φοιτητής/τρια, Ζ= Μ.Ο. Βαθμολογίας
Για την κατάταξη των φοιτητών/τριών και όταν για τις θέσεις ΠΑ υπάρξει μεγαλύτερη ζήτηση από τις δυνατότητες απορρόφησης και προκύπτει ισοβαθμία από τα κριτήρια του πλήθους των μαθημάτων που ο/η φοιτητής/τρια έχει εξετασθεί επιτυχώς και τον μέσο όρο βαθμολογίας, τότε για την κατάταξη και την επιλογή λαμβάνεται υπόψη:
• Ο αριθμός των μαθημάτων που ο/η φοιτητής/τρια έχει εξετασθεί επιτυχώς, όπως αυτό προκύπτει από την αναλυτική βαθμολογία που παρέχεται από τη γραμματεία του Τμήματος
Εφόσον υπάρχουν επαρκείς θέσεις άσκησης στους φορείς υποδοχής με τους οποίους συνεργάζεται το πρόγραμμα, γίνονται δεκτοί/ές όλοι/ες οι φοιτητές/τριες που υποβάλλουν αίτηση.
ΑΞΙΟΛΟΓΗΣΗ ΑΣΚΟΥΜΕΝΩΝ
Για κάθε φοιτητή/τρια που συμμετέχει στην άσκηση ορίζεται επιβλέπων/ουσα καθηγητής/τρια (ακαδημαϊκός/η επόπτης/τρια), ο/η οποίος/α συνεργάζεται με τους φορείς υποδοχής προκειμένου να οριστούν συγκεκριμένες εργασίες για τους/τις ασκούμενους/ες. Κατά τη διάρκεια της άσκησης, οι φοιτητές/τριες εργάζονται υπό την καθοδήγηση εποπτών στους φορείς υποδοχής, οι οποίοι βρίσκονται σε συνεννόηση και συνεργασία με τους/τις διδάσκοντες/ουσες του Τμήματος. Στο τέλος της άσκησης, οι εργασιακοί επόπτες/τριες συντάσσουν πρωτόκολλο αξιολόγησης για τον κάθε ασκούμενο.
Μετά το πέρας της άσκησης οι φοιτητές/τριες καταθέτουν στους/τις επιβλέποντες/ουσες καθηγητές/τριες Αναφορά, η οποία περιλαμβάνει: α) συστηματική καταγραφή του έργου που τους ανατέθηκε, β) αναφορά στις μεθόδους με τις οποίες εργάστηκαν, και γ) αυτοαξιολόγηση του έργου τους και συνολική αποτίμηση της άσκησης.
Η τελική αξιολόγηση της άσκησης γίνεται από τον/την επιβλέποντα/ουσα καθηγητή/τρια, με βάση την Αναφορά που υποβάλλει ο φοιτητής και το πρωτόκολλο αξιολόγησης που συντάσσεται από τον/την εργασιακό/ή επόπτη/τρια στο φορέα υποδοχής.
ΑΜΟΙΒΗ ΚΑΙ ΑΣΦΑΛΙΣΗ
Στο Πρόγραμμα Θερινής Πρακτικής Άσκησης προβλέπεται αμοιβή και ασφάλιση των ασκουμένων για την περίοδο απασχόλησης τους, η οποία καλύπτεται από το ΙΚΑ. Το κόστος της αμοιβής και της ασφάλισης καταβάλλεται από τον φορέα χρηματοδότησης.
Η πρακτική άσκηση θεσμοθετήθηκε με την απόφαση 6/02.03.2016 και εντάχθηκε στο Πρόγραμμα Προπτυχιακών Σπουδών του Τμήματος ως μάθημα ελεύθερης επιλογής (ΕΕ). Με την απόφαση 10/08.01.2025 επικαιροποιήθηκε η θεσμοθέτηση της πρακτικής άσκησης του Τμήματος για τα ακαδημαϊκά έτη 2024-25 έως 2026-27.
Με την ίδια απόφαση (10/08.01.20025) ορίστηκε ο Γιάννης Σμαρνάκης, επίκουρος καθηγητής, ως Τμηματικά Υπεύθυνος για τα έτη 2024-2025 έως 2026-2027.
Με την απόφαση της Γ.Σ. 15/05.03.2025 εγκρίθηκε ο ισχύων εσωτερικός κανονισμός της θερινής πρακτικής άσκησης.
Επιτυχόντες/επιτυχούσες φοιτητές/φοιτήτριες για τα ακαδημαϊκά έτη:
- 2016-2017, εγκεκριμένη με την απόφαση Συνέλευσης 9η/24.05.2017
- 2017-2018, εγκεκριμένη με την απόφαση Συνέλευσης 12η/23.05.2018
- 2018-2019, εγκεκριμένη με την απόφαση Συνέλευσης 12η/08.05.2019
- 2019-2020, εγκεκριμένη με την απόφαση Συνέλευσης 14η/09.06.2020
- 2020-2021, εγκεκριμένη με τις αποφάσεις Συνελεύσεων 21η/26.05.2021 & 23η/22.06.2021
- 2021-2022, εγκεκριμένη με την απόφαση Συνέλευσης 17η/23.05.2022
- 2022-2023, εγκεκριμένη με την απόφαση Συνέλευσης 14η/03.05.2023
- 2023-2024, εγκεκριμένη με την απόφαση Συνέλευσης 18η/15.05.2024
- 2024-2025, εγκεκριμένη με την απόφαση Συνέλευσης 19η/05.06.2025